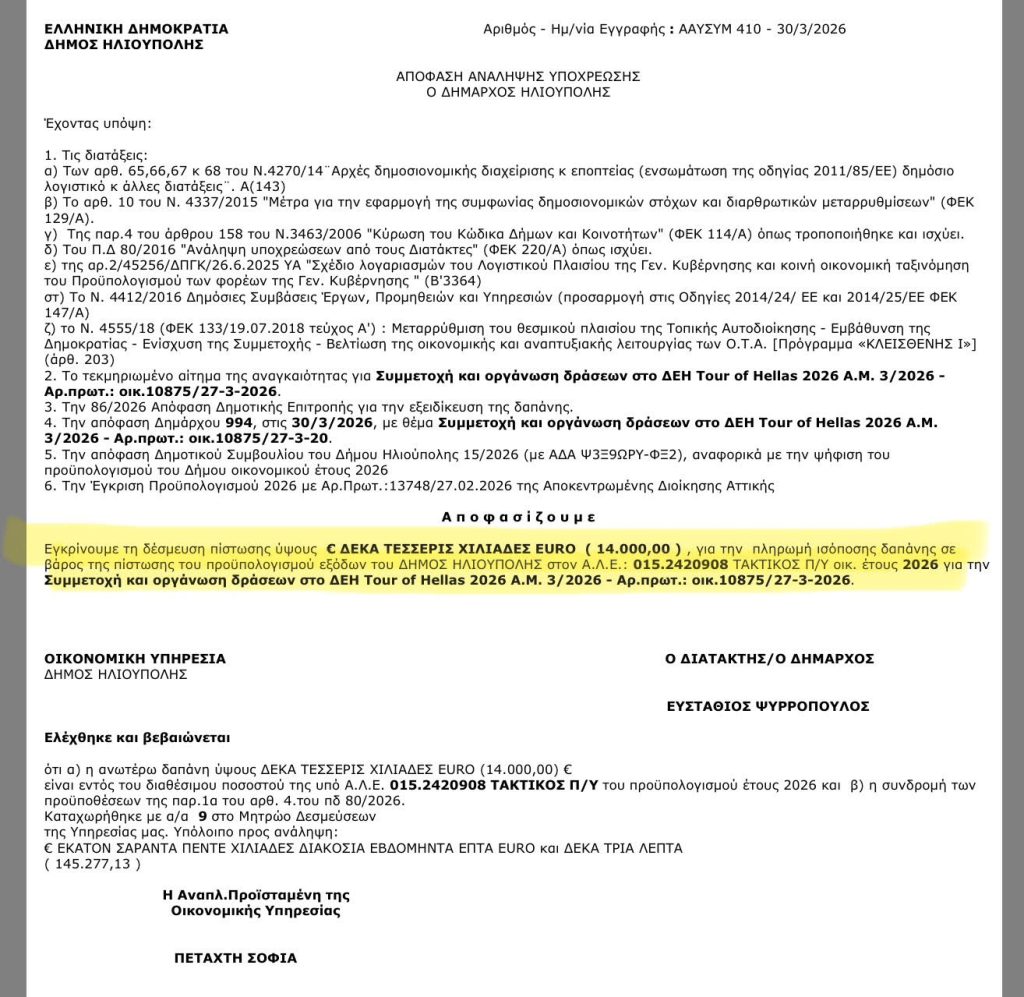
14.000 ευρώ για το ΔΕΗ tour… Όλα είναι θέμα προτεραιοτήτων!

Την ίδια ώρα που το μεσημέρι της Τρίτης 21 Απριλίου μετά την δημοσιοποίηση από το HlioupoliTimes της αρνητικής απάντησης του Δήμου στην κάλυψη του Ειδικού Σχολείου με χαρτιά υγείας, μεταφέρονταν 84 ρολά χαρτιών υγείας(!) και 12 ρολά χαρτιού κουζίνας(!) ως δήθεν άμεση κάλυψη των αναγκών του Σχολείου (σε μια εβδομάδα έχουν τελειώσει…)

Την ίδια ώρα που σε ανάρτησή του για τον Προφήτη Ηλία ο Δήμαρχος γράφει “Δεν θα γίνουμε ο «βολικός εργολάβος» που θα καλύψει τις ευθύνες του Κεντρικού Κράτους με τα χρήματα των Ηλιουπολιτών”

Την ίδια ώρα που στα σχολεία πέφτουν κεραμίδια και σωλήνες αποχέτευσης, λόγω έλλειψης πόρων, ευτυχώς όχι στα κεφάλια μαθητών ή δασκάλων

Την ίδια ώρα που τρέχουν αναθέσεις για την προσωπική προβολή του Δημάρχου αλλά και του έργου του(;) με στημένα ρεπορτάζ και συνεντεύξεις

Αυτή την ίδια ώρα με απόφαση της Δημοτικής Αρχής δίνονται 14.000 ευρώ για τον ποδηλατικό γύρο ΔΕΗ tour! Και προφανώς κανείς δεν θα αρνηθεί σε μια πόλη το δικαίωμα της ποικιλίας και της πολυμορφίας στις εκδηλώσεις, την ανάγκη ψυχαγωγίας, άθλησης και ποδηλασίας, ΑΛΛΑ όταν έχεις άλυτες βασικές ανάγκες ΔΕΝ ΑΝΑΘΕΤΕΙΣ χρήματα σε φιοριτούρες και γιρλάντες.

Και ναι με 14.000  θα μπορούσες πολλά να κάνεις στο Ειδικό σχολείο αλλά και σε άλλα σχολεία και αυτό δεν είναι λαϊκισμός. Είναι προτεραιότητα. Όποιος δεν το καταλαβαίνει είναι άξιος της μοίρας του και ανάξιος για μια πόλη με άλυτες βασικές, ζωτικές ανάγκες. Στα 14.000 ευρώ προσθέστε και τα 150.000 περίπου ευρώ για τις Χριστουγεννιάτικες φιέστες και τις χρυσές νύχτες… αλλά και δεκάδες χιλιάδες ευρώ για αποκριάτικα πανηγύρια, όλα με  αναθέσεις.

Αξίζει να σημειωθεί οτι η συγκεκριμένη δράση του ΔΕΗ tour χρηματοδοτείται από κορυφαίο σπόνσορα όπως είναι η ΔΕΗ, ενώ ψάχνοντας να βρούμε το κέρδος για την Ηλιούπολη διαβάζουμε στην ανακοίνωση του Δήμου: ” Η συμμετοχή του Δήμου μας εξασφαλίζει παγκόσμια προβολή μέσω τηλεοπτικών και διαδικτυακών μεταδόσεων, ενώ παράλληλα ενισχύει τη συμμετοχή και την αλληλεπίδραση της τοπικής κοινωνίας”. Ποια ακριβώς θα είναι η παγκόσμια προβολή; Τα πλάνα στο backround των αθλητών; Και πως αυτά τα πλάνα θα εξαργυρωθούν; Θα τα δει κάποιος από το εξωτερικό και θα κλείσει εισιτήρια για να έρθει να θαυμάσει τους ξεχειλισμένους κάδους της Ηλιούπολης; Κωμωδία. 

Να πούμε τέλος οτι το ΔΕΗ tour πέρυσι είχε διέλθει από την Ηλιούπολη χωρίς ο Δήμος να χρειαστεί να πληρώσει κάτι, ενώ φέτος που θα μας στοιχίσει 14.000 ευρώ, θα γίνει την Κυριακή 10 Μάϊου και η διαδρομή εντός Ηλιούπολης περιλαμβάνει:

Είσοδο από τη Λεωφόρο Βουλιαγμένης
Οδοί: Εθνάρχου Μακαρίου – Ελευθερίου Βενιζέλου – Λεωφόρος Ειρήνης – Ανδρέα Παπανδρέου – Μαρίνου Αντύπα

 

 

 

 

Αφήστε μια απάντηση

Η ηλ. διεύθυνση σας δεν δημοσιεύεται. Τα υποχρεωτικά πεδία σημειώνονται με *